0
Skip to Content
Home
About
Membership
Join the Club
Member Benefits
New Member Info
Our Club
Fish Grid
Yearbooks
Fishing Rules
Weighing Fish
Committee Nominations
Volunteer
News
Events
Apparel
Kitchen
Menu
Sunday Roast
Christmas Roast
FAQ
Contact
Open Menu
Close Menu
Open Menu
Close Menu
Home
About
Membership
Join the Club
Member Benefits
New Member Info
Our Club
Fish Grid
Yearbooks
Fishing Rules
Weighing Fish
Committee Nominations
Volunteer
News
Events
Apparel
Kitchen
Menu
Sunday Roast
Christmas Roast
FAQ
Contact
Home
About
Folder:
Membership
Back
Join the Club
Member Benefits
New Member Info
Folder:
Our Club
Back
Fish Grid
Yearbooks
Fishing Rules
Weighing Fish
Committee Nominations
Volunteer
News
Events
Apparel
Folder:
Kitchen
Back
Menu
Sunday Roast
Christmas Roast
FAQ
Contact
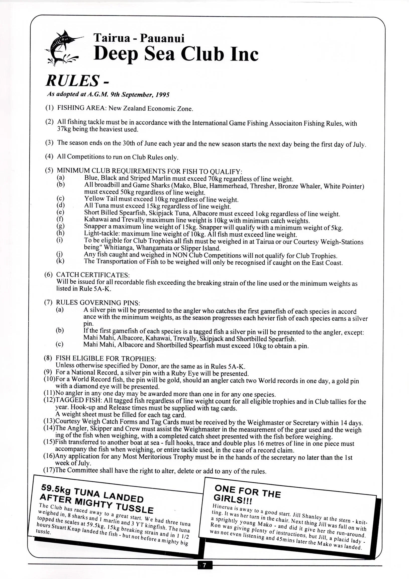
1994/1995 yearbook